The 2022 British Sprint Enduro Championship resumed with rounds 5 & 6 of the series taking place at the Searles Training Compound at the weekend.
Images and Highlights Edit by FourZeroMedia
Jed Etchells was in epic form powering to wins in 16 out of the 17 tests over the weekend for both the overall and the E1 victory.
Gallery
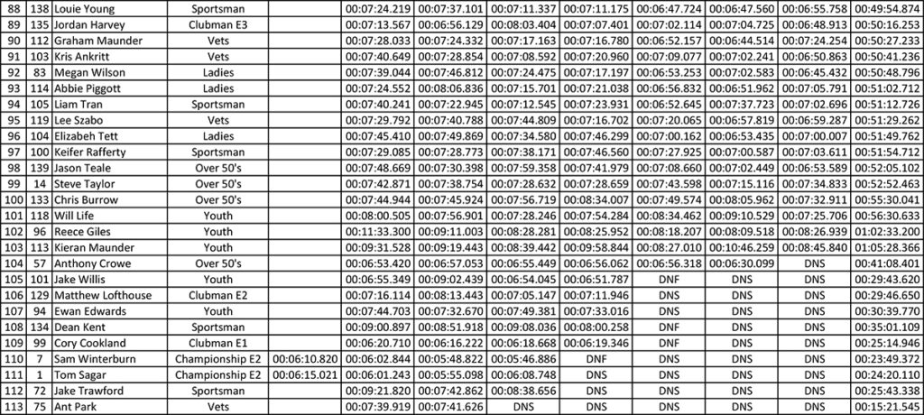
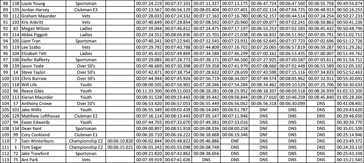
Results
Saturday – Round 5
Sunday – Round 6

[the_ad_group id=”1863″]














